Ag1Ce1Zn2

MatHub3d-206-Ag1Ce1Zn2

Property Value
Space group (225, "'Fm-3m'")
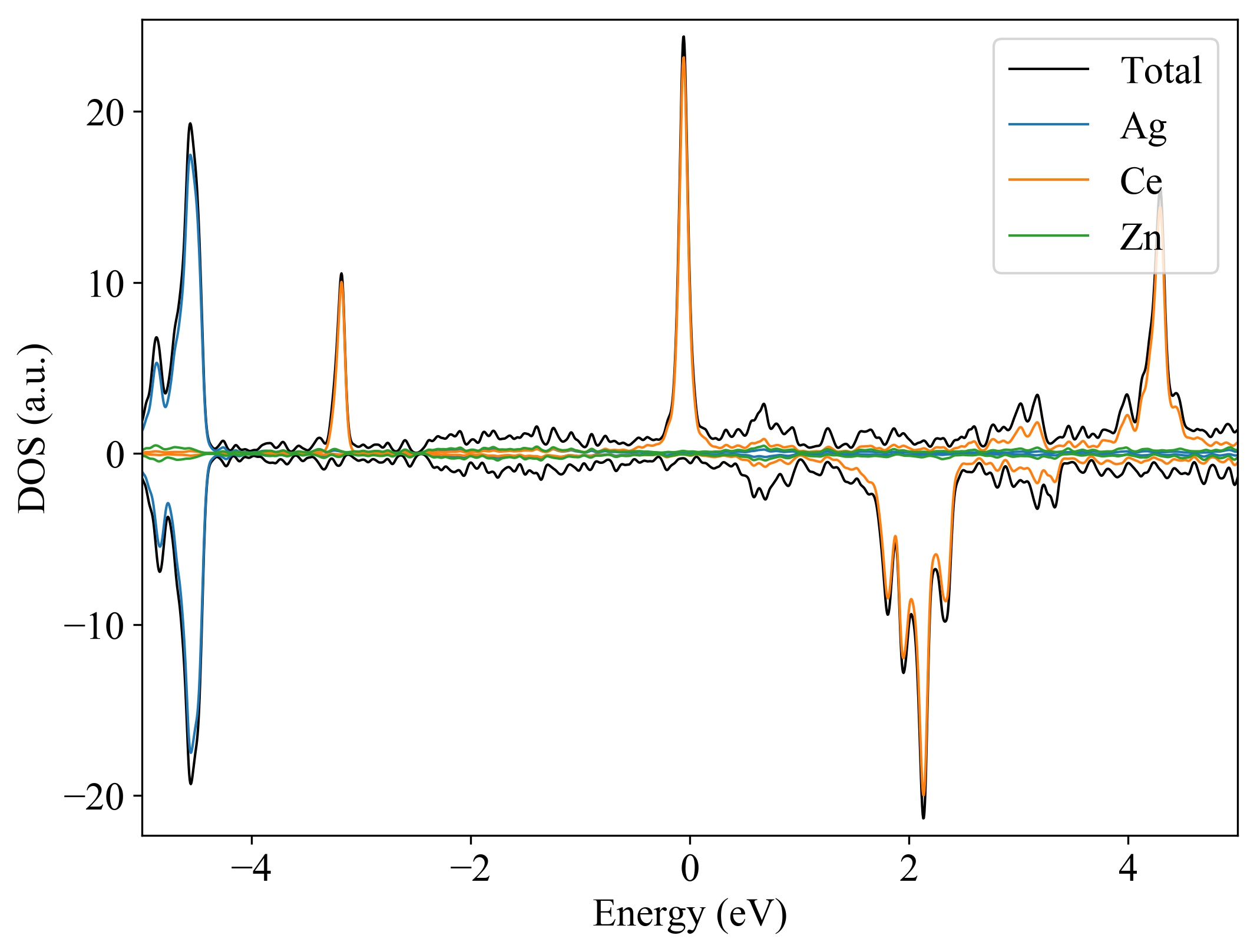
Magnetic True
Magnetic moment (μB) 0.54
Band gap (PBE) (eV) 0
Total energy (eV) -7.496
Total energy / atom (eV) -1.874

Lattice Parameters(conventional cell, from the source)

a, b, c (Å): 6.860 6.860 6.860
α, β, γ(°): 90.0 90.0 90.0

Lattice Parameters(conventional cell, relaxed)

a, b, c (Å): 6.910 6.910 6.910
α, β, γ(°): 90.0 90.0 90.0






Ag1Ce1Zn2
  
Property Value
Band gap 0 eV
Property Value
Source mp-867186-Ag1Ce1Zn2