Ag1Ce1Hg2

MatHub3d-204-Ag1Ce1Hg2

Property Value
Space group (225, "'Fm-3m'")
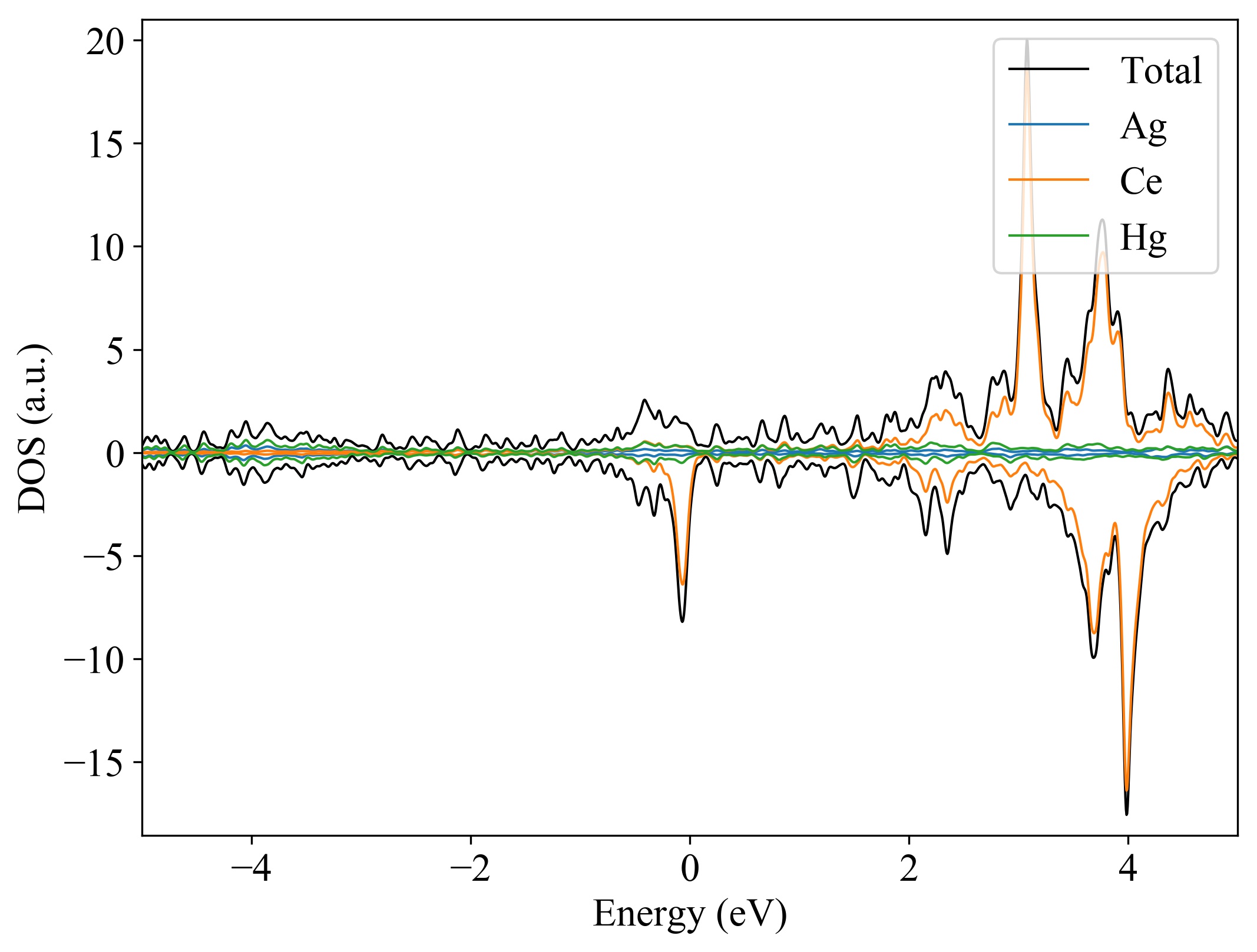
Magnetic True
Band gap (PBE) (eV) 0
Total energy (eV) -7.114
Total energy / atom (eV) -1.778

Lattice Parameters(conventional cell, from the source)

a, b, c (Å): 7.270 7.270 7.270
α, β, γ(°): 90.0 90.0 90.0

Lattice Parameters(conventional cell, relaxed)

a, b, c (Å): 7.340 7.340 7.340
α, β, γ(°): 90.0 90.0 90.0






Ag1Ce1Hg2
  
Property Value
Band gap 0 eV
Property Value
Source mp-865885-Ag1Ce1Hg2