Ag1Ce1

MatHub3d-203-Ag1Ce1

Property Value
Space group (123, "'P4/mmm'")
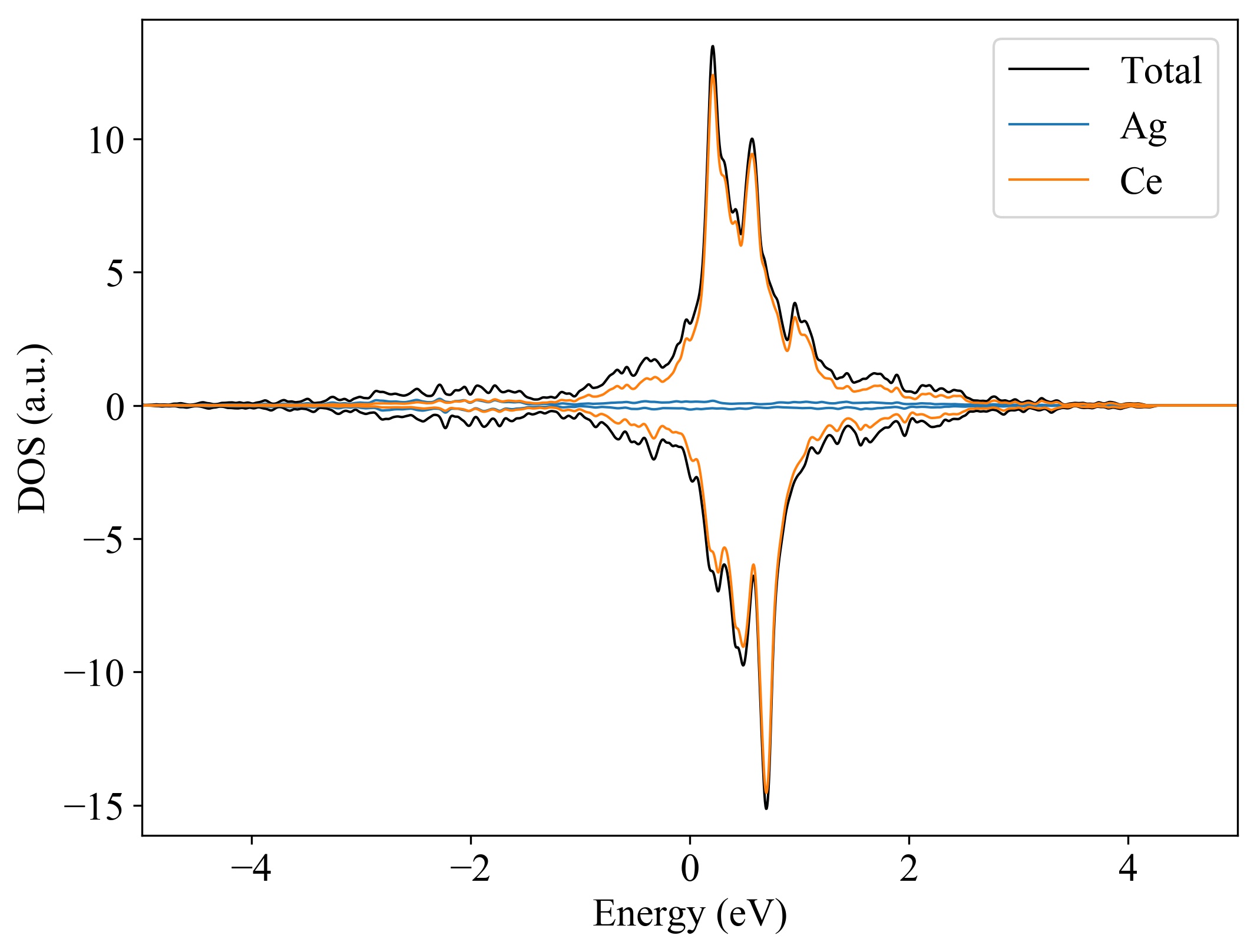
Magnetic True
Magnetic moment (μB) 0.15
Band gap (PBE) (eV) 0
Total energy (eV) -4.462
Total energy / atom (eV) -2.231

Lattice Parameters(conventional cell, from the source)

a, b, c (Å): 3.200 3.200 4.640
α, β, γ(°): 90.0 90.0 90.0

Lattice Parameters(conventional cell, relaxed)

a, b, c (Å): 3.220 3.220 4.660
α, β, γ(°): 90.0 90.0 90.0






Ag1Ce1
  
Property Value
Band gap 0 eV
Property Value
Source mp-11841-Ag1Ce1