Ag1Ca2Pb1

MatHub3d-191-Ag1Ca2Pb1

Property Value
Space group (225, "'Fm-3m'")
Magnetic False
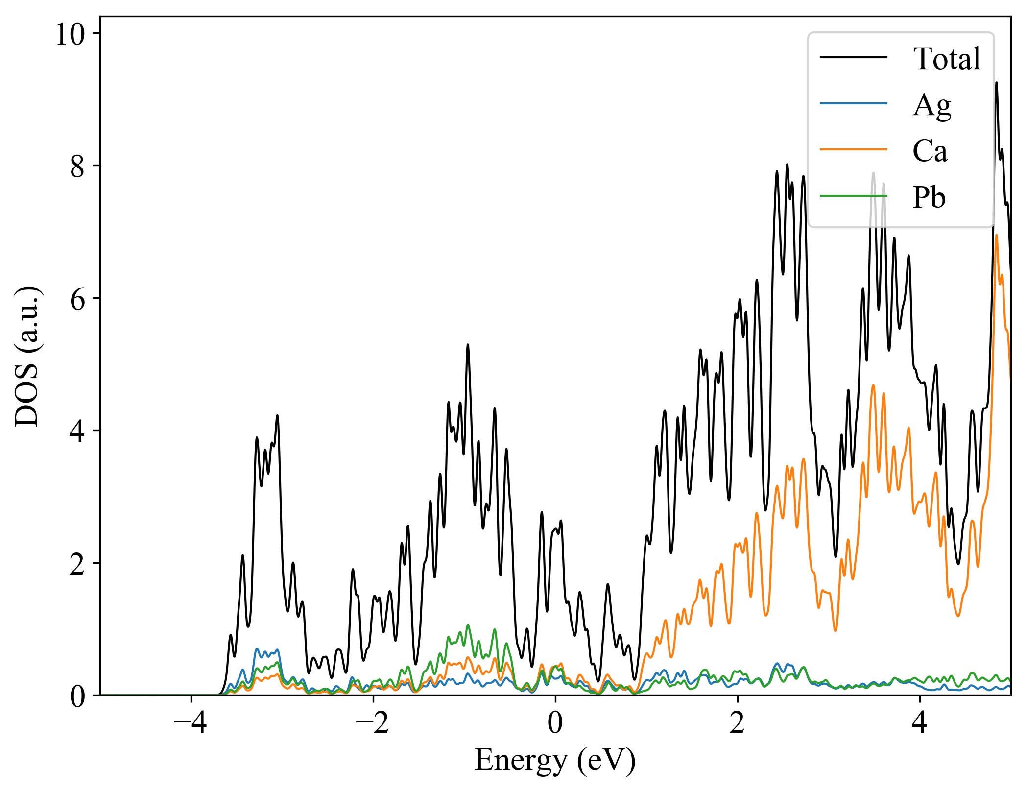
Band gap (PBE) (eV) 0
Total energy (eV) -10.160
Total energy / atom (eV) -2.540

Lattice Parameters(conventional cell, from the source)

a, b, c (Å): 7.650 7.650 7.650
α, β, γ(°): 90.0 90.0 90.0

Lattice Parameters(conventional cell, relaxed)

a, b, c (Å): 7.650 7.650 7.650
α, β, γ(°): 90.0 90.0 90.0
Ag1Ca2Pb1
.
Property Value
Bulk-modulus 35.542 GPa






Ag1Ca2Pb1
  
Property Value
Band gap 0 eV
Property Value
Source mp-864991-Ag1Ca2Pb1