Ag1C2K1

MatHub3d-186-Ag1C2K1

Property Value
Space group (123, "'P4/mmm'")
Magnetic False
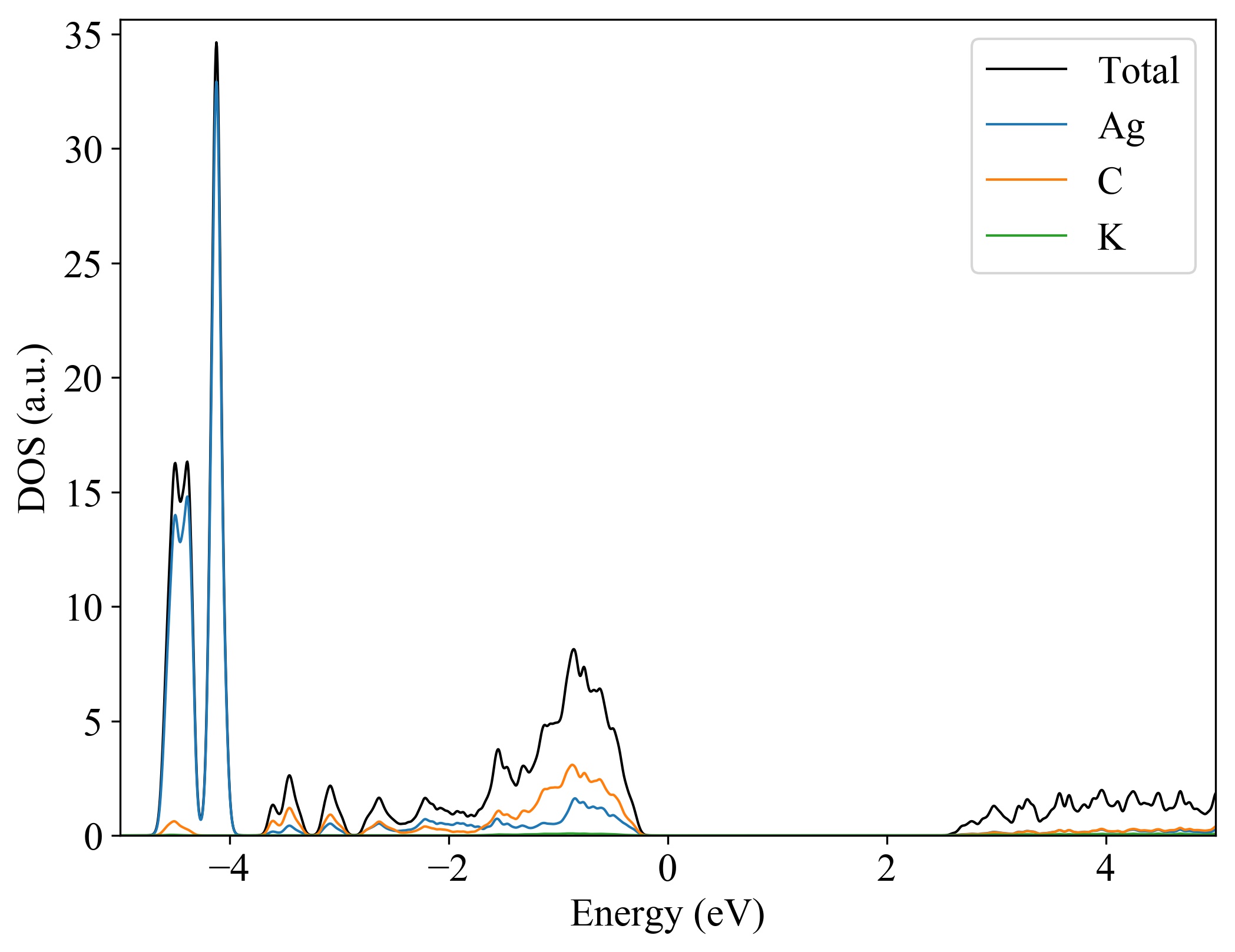
Band gap (PBE) (eV) 2.84
Total energy (eV) -18.973
Total energy / atom (eV) -4.743

Lattice Parameters(conventional cell, from the source)

a, b, c (Å): 4.230 4.230 5.290
α, β, γ(°): 90.0 90.0 90.0

Lattice Parameters(conventional cell, relaxed)

a, b, c (Å): 4.330 4.330 5.340
α, β, γ(°): 90.0 90.0 90.0

Deformation Potential

n_type (eV): 2.550
p_type (eV): 2.523
Ag1C2K1
.
Property Value
Bulk-modulus 47.482 GPa






Ag1C2K1
  
Property Value
Band gap 2.84 eV
Band degeneracy(CBM) 2.00
Band degeneracy(VBM) 2.00
n-type Seebeck coefficient (700K)



p-type Seebeck coefficient (700K)
n-type conductivity (700K)



p-type conductivity (700K)
n-type power factor (700K)



p-type power factor (700K)






Eband_VBM 0.75818
Eband_CBM -2.66696
Property Value
Source icsd-410874-Ag1C2K1