Ag1C1

MatHub3d-183-Ag1C1

Property Value
Space group (216, "'F-43m'")
Magnetic False
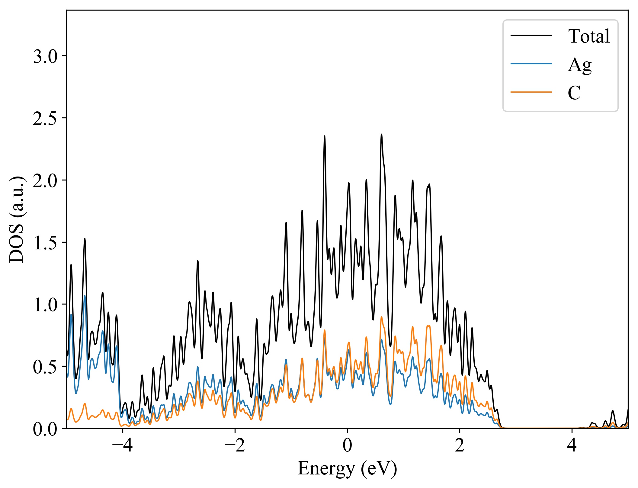
Band gap (PBE) (eV) 0
Total energy (eV) -5.304
Total energy / atom (eV) -2.652

Lattice Parameters(conventional cell, from the source)

a, b, c (Å): 4.940 4.940 4.940
α, β, γ(°): 90.0 90.0 90.0

Lattice Parameters(conventional cell, relaxed)

a, b, c (Å): 4.910 4.910 4.910
α, β, γ(°): 90.0 90.0 90.0
Ag1C1
.
Property Value
Bulk-modulus 99.041 GPa






Ag1C1
  
Property Value
Band gap 0 eV
Property Value
Source icsd-183176-Ag1C1