Ag1Al1Li2

MatHub3d-138-Ag1Al1Li2

Property Value
Space group (216, "'F-43m'")
Magnetic False
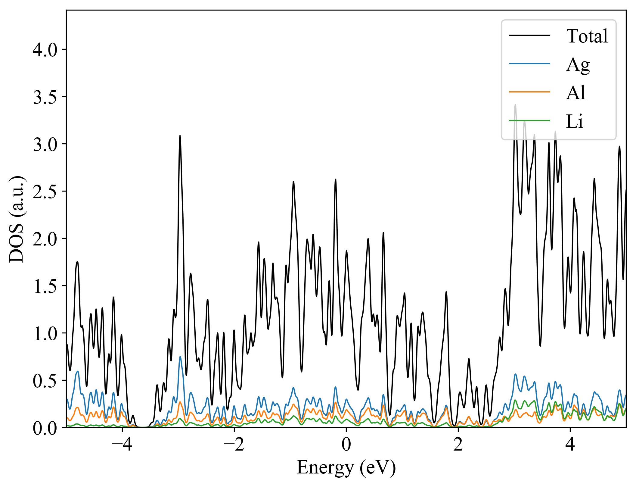
Band gap (PBE) (eV) 0
Total energy (eV) -9.199
Total energy / atom (eV) -2.300

Lattice Parameters(conventional cell, from the source)

a, b, c (Å): 6.350 6.350 6.350
α, β, γ(°): 90.0 90.0 90.0

Lattice Parameters(conventional cell, relaxed)

a, b, c (Å): 6.320 6.320 6.320
α, β, γ(°): 90.0 90.0 90.0
Ag1Al1Li2
.
Property Value
Bulk-modulus 44.781 GPa






Ag1Al1Li2
  
Property Value
Band gap 0 eV
Property Value
Source icsd-57330-Ag1Al1Li2