Ag1Al1B1

MatHub3d-137-Ag1Al1B1

Property Value
Space group (216, "'F-43m'")
Magnetic False
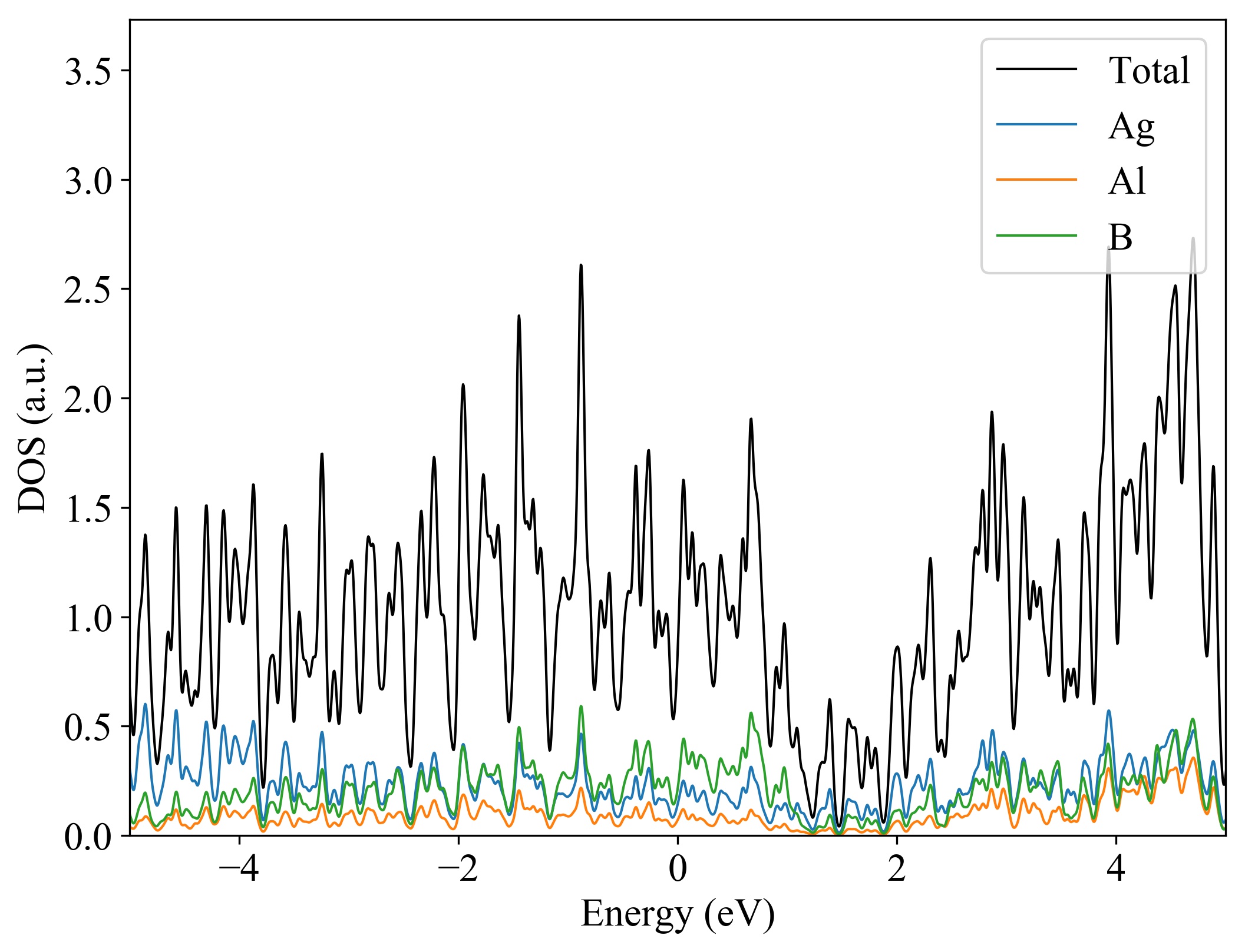
Band gap (PBE) (eV) 0.03
Total energy (eV) -8.819
Total energy / atom (eV) -2.940

Lattice Parameters(conventional cell, from the source)

a, b, c (Å): 5.690 5.690 5.690
α, β, γ(°): 90.0 90.0 90.0

Lattice Parameters(conventional cell, relaxed)

a, b, c (Å): 5.660 5.660 5.660
α, β, γ(°): 90.0 90.0 90.0
Ag1Al1B1
.
Property Value
Bulk-modulus 89.571 GPa






Ag1Al1B1
  
Property Value
Band gap 0.03 eV
Property Value
Source mp-631568-Ag1Al1B1