Ac6Yb2

MatHub3d-134-Ac6Yb2

Property Value
Space group (194, "'P6_3/mmc'")
Magnetic True
Magnetic moment (μB) 0.03
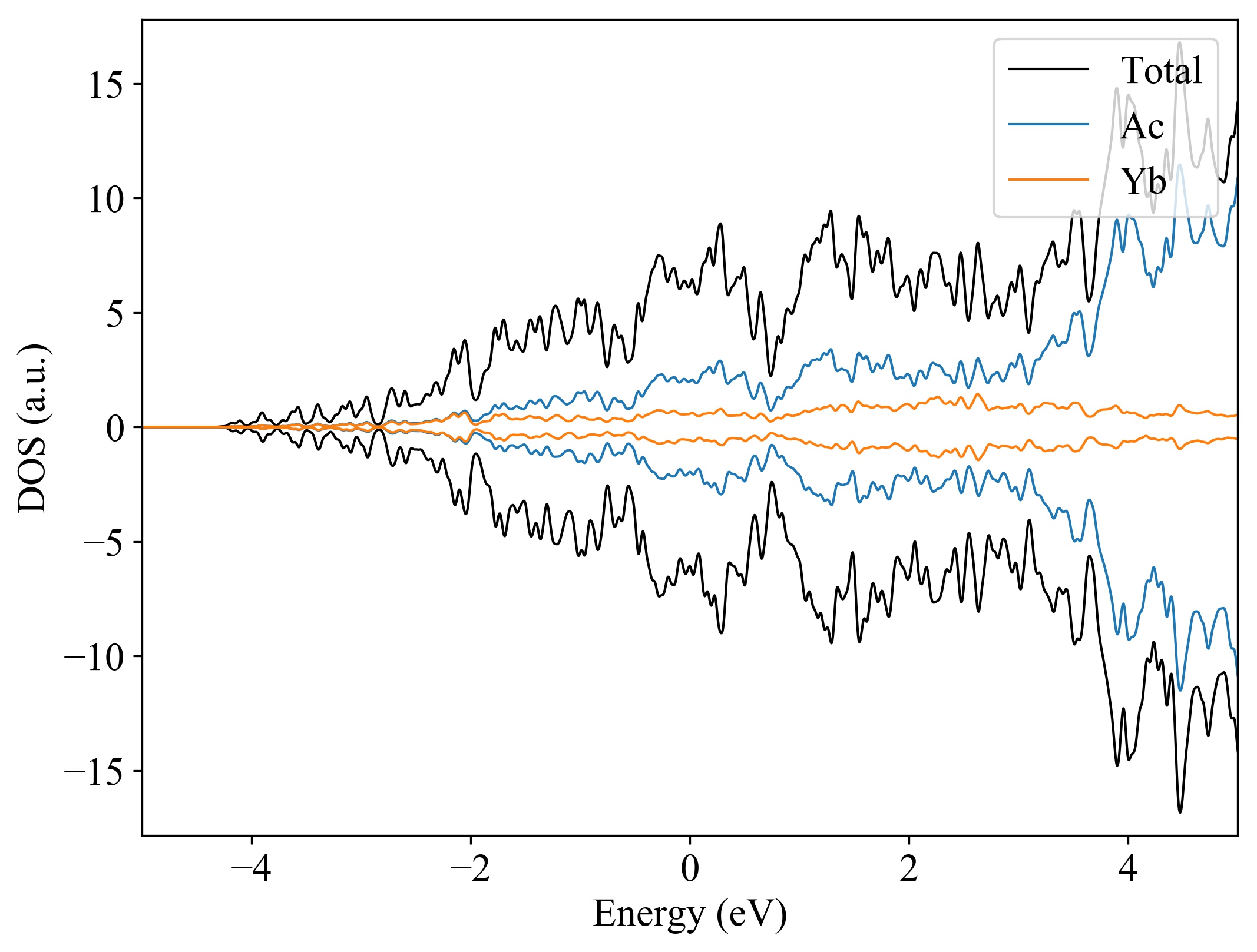
Band gap (PBE) (eV) 0
Total energy (eV) -27.003
Total energy / atom (eV) -3.375

Lattice Parameters(conventional cell, from the source)

a, b, c (Å): 7.950 7.950 6.400
α, β, γ(°): 90.0 90.0 120.0

Lattice Parameters(conventional cell, relaxed)

a, b, c (Å): 7.960 7.960 6.390
α, β, γ(°): 90.0 90.0 120.0






Ac6Yb2
  
Property Value
Band gap 0 eV
Property Value
Source mp-972002-Ac6Yb2