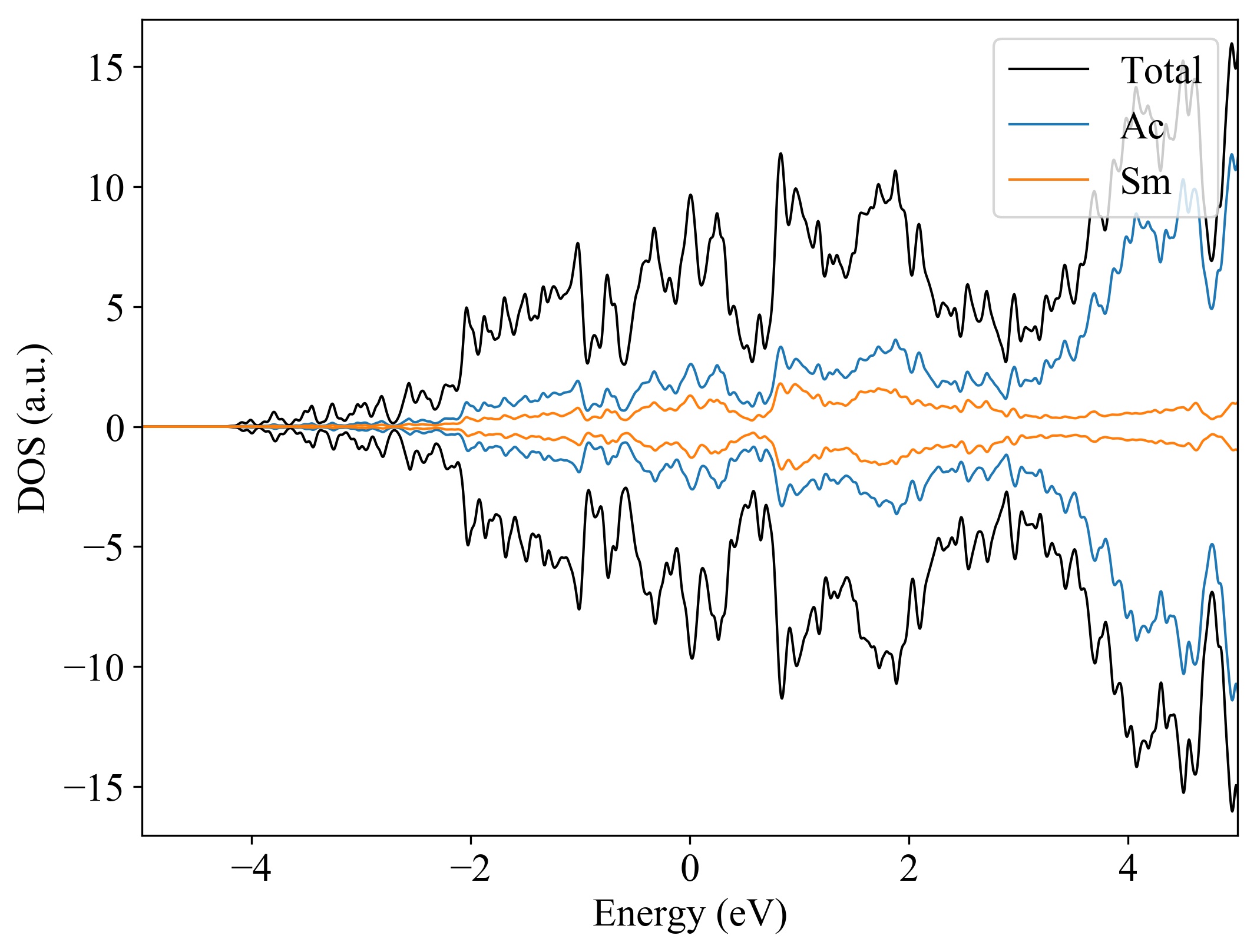
Ac6Sm2

MatHub3d-131-Ac6Sm2

Property Value
Space group (194, "'P6_3/mmc'")
Magnetic True
Magnetic moment (μB) 0.06
Band gap (PBE) (eV) 0
Total energy (eV) -33.312
Total energy / atom (eV) -4.164

Lattice Parameters(conventional cell, from the source)

a, b, c (Å): 7.860 7.860 6.320
α, β, γ(°): 90.0 90.0 120.0

Lattice Parameters(conventional cell, relaxed)

a, b, c (Å): 7.920 7.920 6.300
α, β, γ(°): 90.0 90.0 120.0






Ac6Sm2
  
Property Value
Band gap 0 eV
Property Value
Source mp-985547-Ac6Sm2