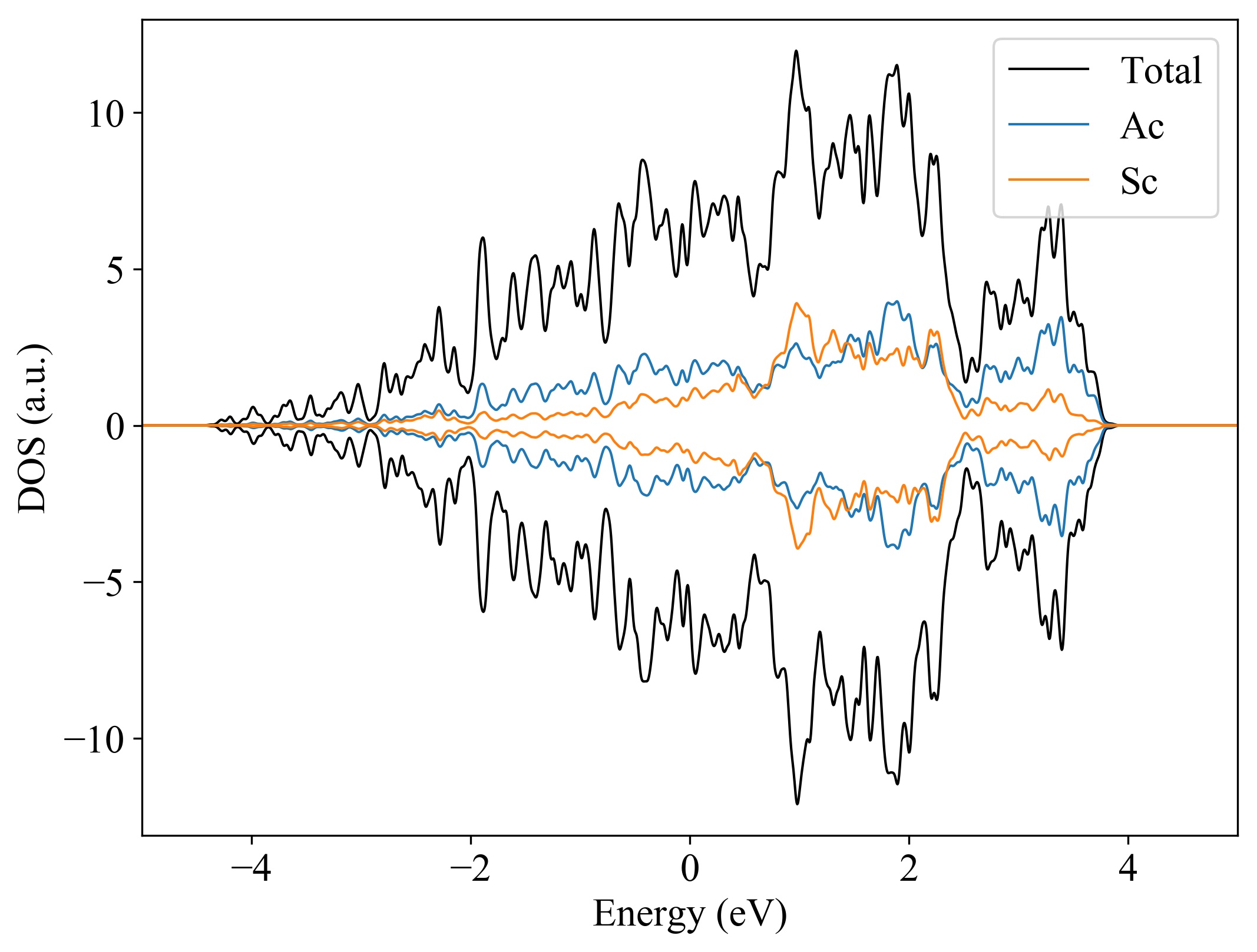
Ac6Sc2

MatHub3d-130-Ac6Sc2

Property Value
Space group (194, "'P6_3/mmc'")
Magnetic True
Magnetic moment (μB) 0.05
Band gap (PBE) (eV) 0
Total energy (eV) -33.887
Total energy / atom (eV) -4.236

Lattice Parameters(conventional cell, from the source)

a, b, c (Å): 7.730 7.730 6.150
α, β, γ(°): 90.0 90.0 120.0

Lattice Parameters(conventional cell, relaxed)

a, b, c (Å): 7.810 7.810 6.170
α, β, γ(°): 90.0 90.0 120.0






Ac6Sc2
  
Property Value
Band gap 0 eV
Property Value
Source mp-985561-Ac6Sc2