Ac6Nd2

MatHub3d-127-Ac6Nd2

Property Value
Space group (194, "'P6_3/mmc'")
Magnetic True
Magnetic moment (μB) 0.04
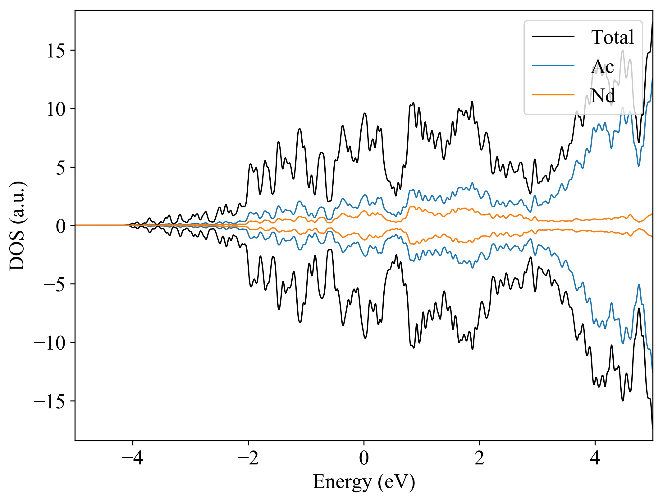
Band gap (PBE) (eV) 0
Total energy (eV) -33.501
Total energy / atom (eV) -4.188

Lattice Parameters(conventional cell, from the source)

a, b, c (Å): 7.890 7.890 6.350
α, β, γ(°): 90.0 90.0 120.0

Lattice Parameters(conventional cell, relaxed)

a, b, c (Å): 7.930 7.930 6.330
α, β, γ(°): 90.0 90.0 120.0






Ac6Nd2
  
Property Value
Band gap 0 eV
Property Value
Source mp-985554-Ac6Nd2