Ac3Sr1

MatHub3d-119-Ac3Sr1

Property Value
Space group (139, "'I4/mmm'")
Magnetic True
Magnetic moment (μB) 0.03
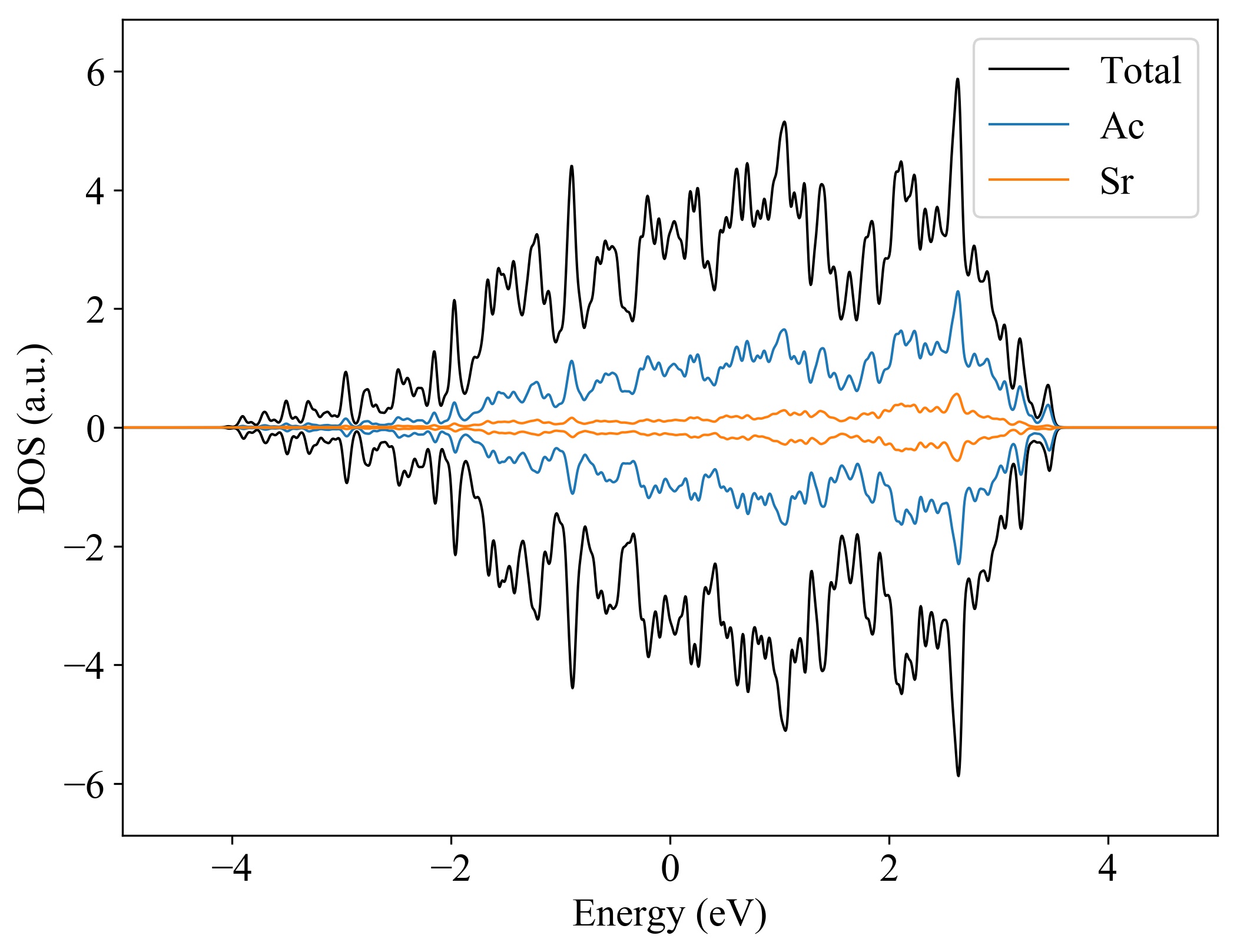
Band gap (PBE) (eV) 0
Total energy (eV) -13.572
Total energy / atom (eV) -3.393

Lattice Parameters(conventional cell, from the source)

a, b, c (Å): 5.740 5.740 11.370
α, β, γ(°): 90.0 90.0 90.0

Lattice Parameters(conventional cell, relaxed)

a, b, c (Å): 5.750 5.750 11.290
α, β, γ(°): 90.0 90.0 90.0






Ac3Sr1
  
Property Value
Band gap 0 eV
Property Value
Source mp-979014-Ac3Sr1