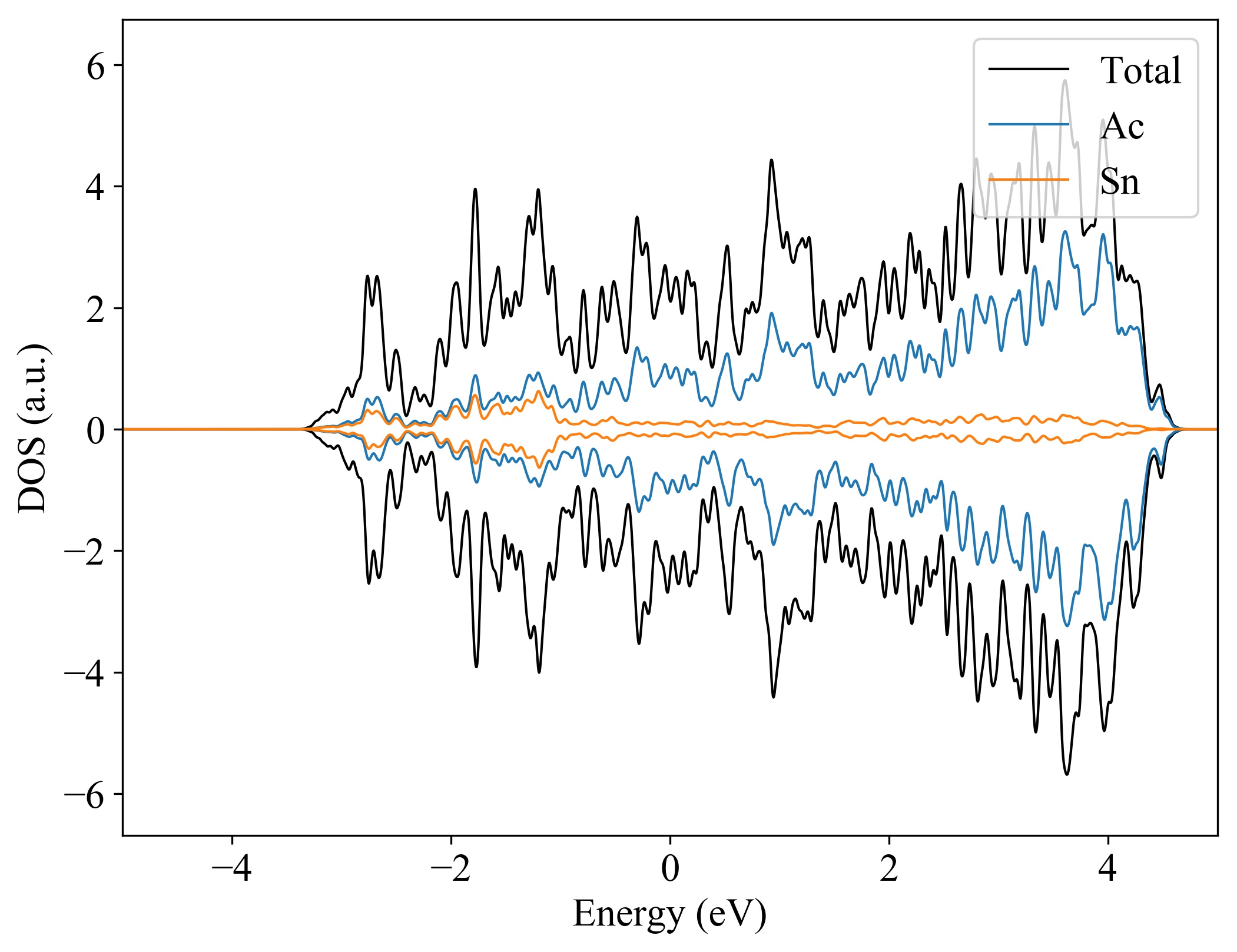
Ac3Sn1

MatHub3d-118-Ac3Sn1

Property Value
Space group (221, "'Pm-3m'")
Magnetic True
Magnetic moment (μB) 0.04
Band gap (PBE) (eV) 0
Total energy (eV) -17.280
Total energy / atom (eV) -4.320

Lattice Parameters(conventional cell, from the source)

a, b, c (Å): 5.330 5.330 5.330
α, β, γ(°): 90.0 90.0 90.0

Lattice Parameters(conventional cell, relaxed)

a, b, c (Å): 5.320 5.320 5.320
α, β, γ(°): 90.0 90.0 90.0






Ac3Sn1
  
Property Value
Band gap 0 eV
Property Value
Source mp-861939-Ac3Sn1