Ac2Si6

MatHub3d-115-Ac2Si6

Property Value
Space group (194, "'P6_3/mmc'")
Magnetic False
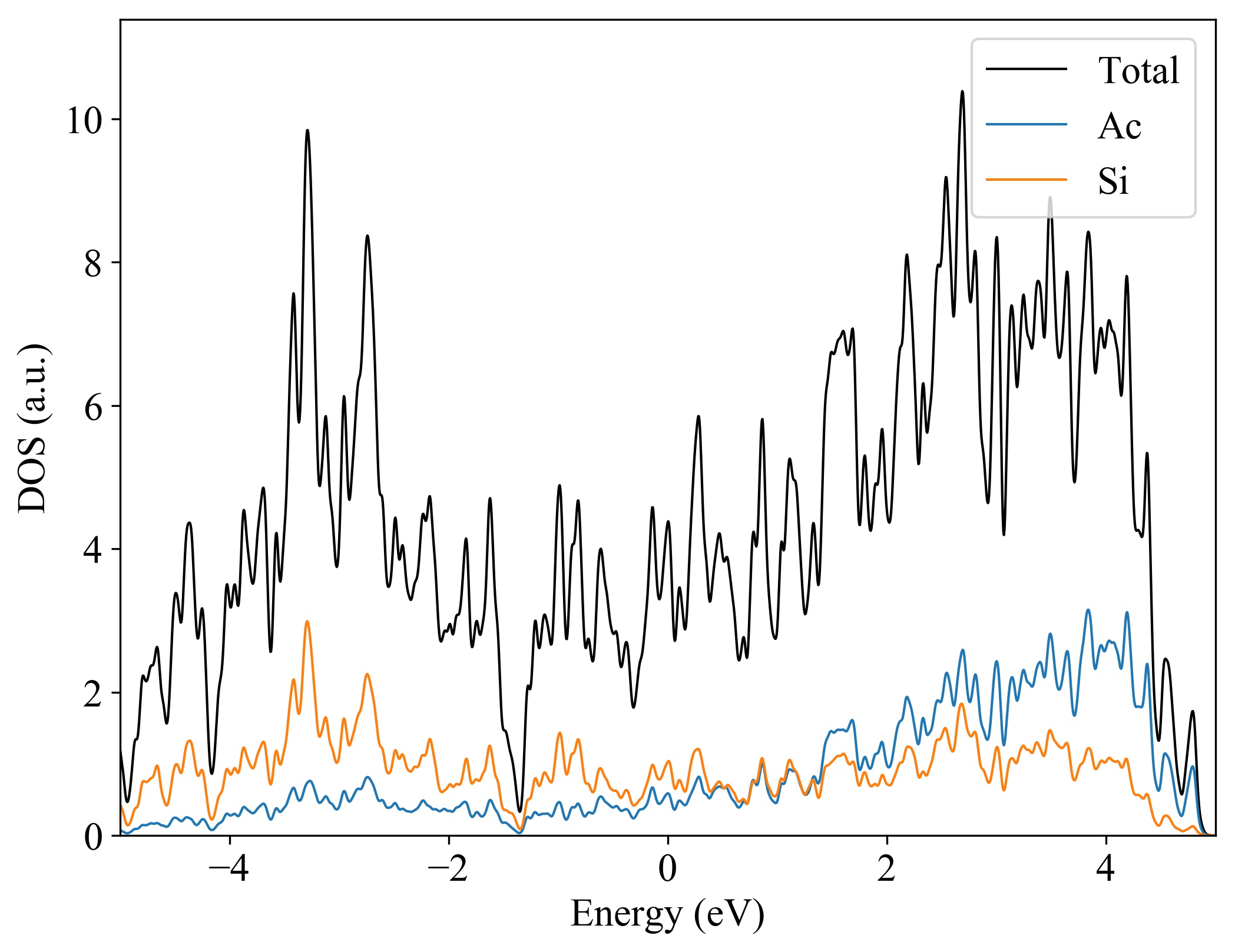
Band gap (PBE) (eV) 0
Total energy (eV) -43.321
Total energy / atom (eV) -5.415

Lattice Parameters(conventional cell, from the source)

a, b, c (Å): 6.520 6.520 4.640
α, β, γ(°): 90.0 90.0 120.0

Lattice Parameters(conventional cell, relaxed)

a, b, c (Å): 6.500 6.500 4.670
α, β, γ(°): 90.0 90.0 120.0
Ac2Si6
.
Property Value
Bulk-modulus 77.948 GPa






Ac2Si6
  
Property Value
Band gap 0 eV
Property Value
Source mp-866222-Ac2Si6