Ac2Na1Pb1

MatHub3d-108-Ac2Na1Pb1

Property Value
Space group (225, "'Fm-3m'")
Magnetic True
Magnetic moment (μB) 0.04
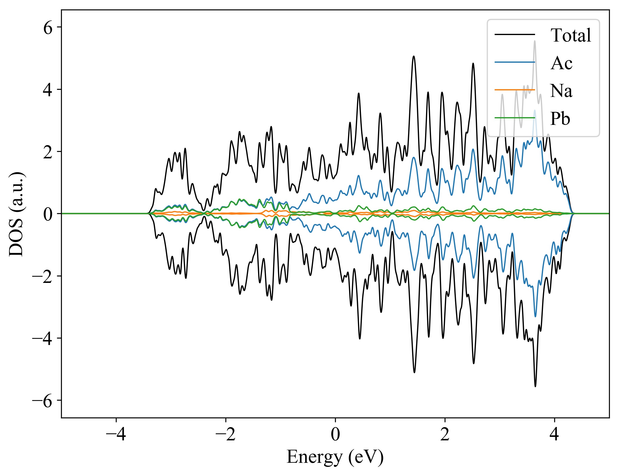
Band gap (PBE) (eV) 0
Total energy (eV) -13.847
Total energy / atom (eV) -3.462

Lattice Parameters(conventional cell, from the source)

a, b, c (Å): 8.340 8.340 8.340
α, β, γ(°): 90.0 90.0 90.0

Lattice Parameters(conventional cell, relaxed)

a, b, c (Å): 8.340 8.340 8.340
α, β, γ(°): 90.0 90.0 90.0






Ac2Na1Pb1
  
Property Value
Band gap 0 eV
Property Value
Source mp-976072-Ac2Na1Pb1