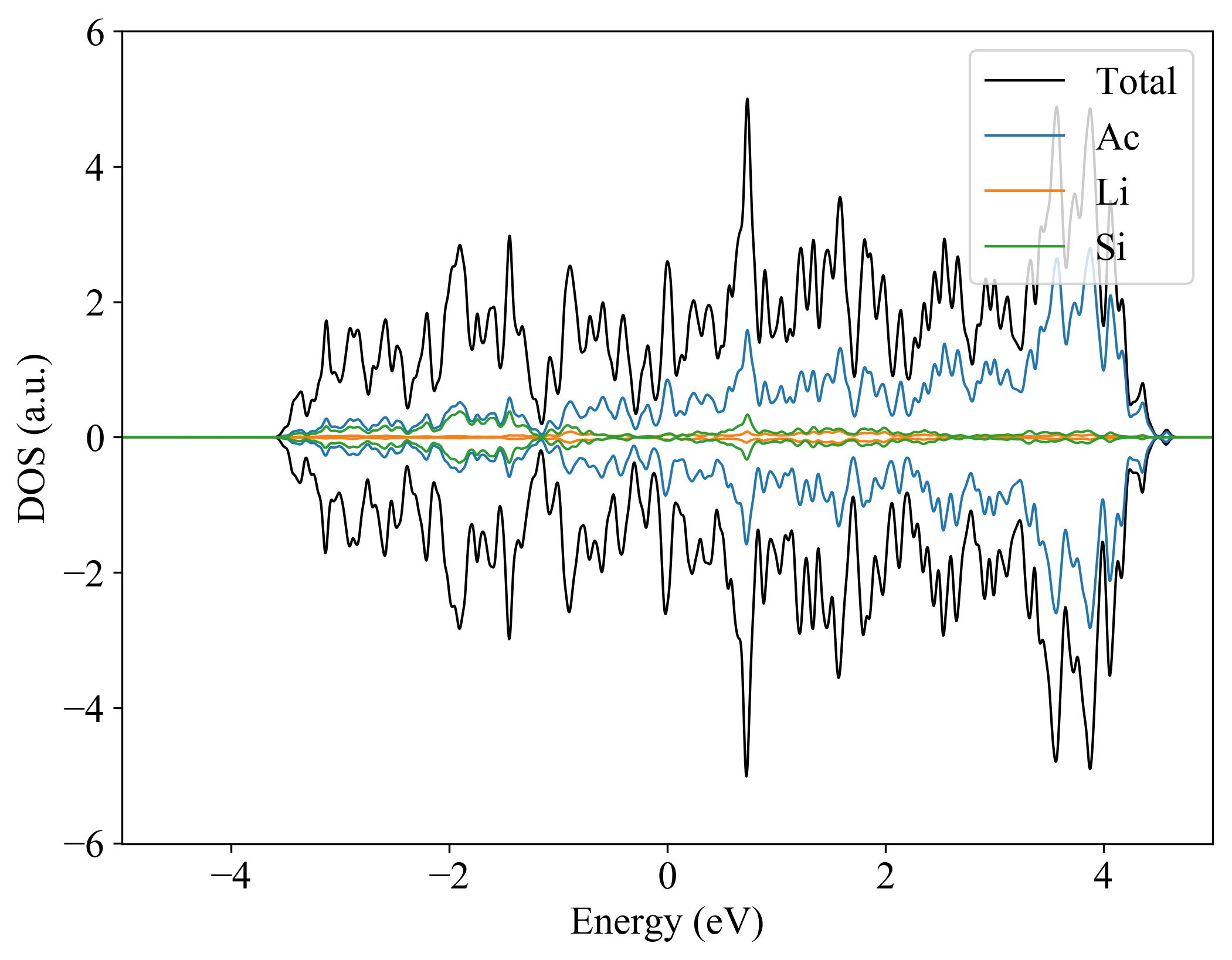
Ac2Li1Si1

MatHub3d-104-Ac2Li1Si1

Property Value
Space group (225, "'Fm-3m'")
Magnetic True
Band gap (PBE) (eV) 0
Total energy (eV) -16.250
Total energy / atom (eV) -4.062

Lattice Parameters(conventional cell, from the source)

a, b, c (Å): 7.780 7.780 7.780
α, β, γ(°): 90.0 90.0 90.0

Lattice Parameters(conventional cell, relaxed)

a, b, c (Å): 7.780 7.780 7.780
α, β, γ(°): 90.0 90.0 90.0






Ac2Li1Si1
  
Property Value
Band gap 0 eV
Property Value
Source mp-861876-Ac2Li1Si1