Ac2Ir1Zn1

MatHub3d-102-Ac2Ir1Zn1

Property Value
Space group (225, "'Fm-3m'")
Magnetic False
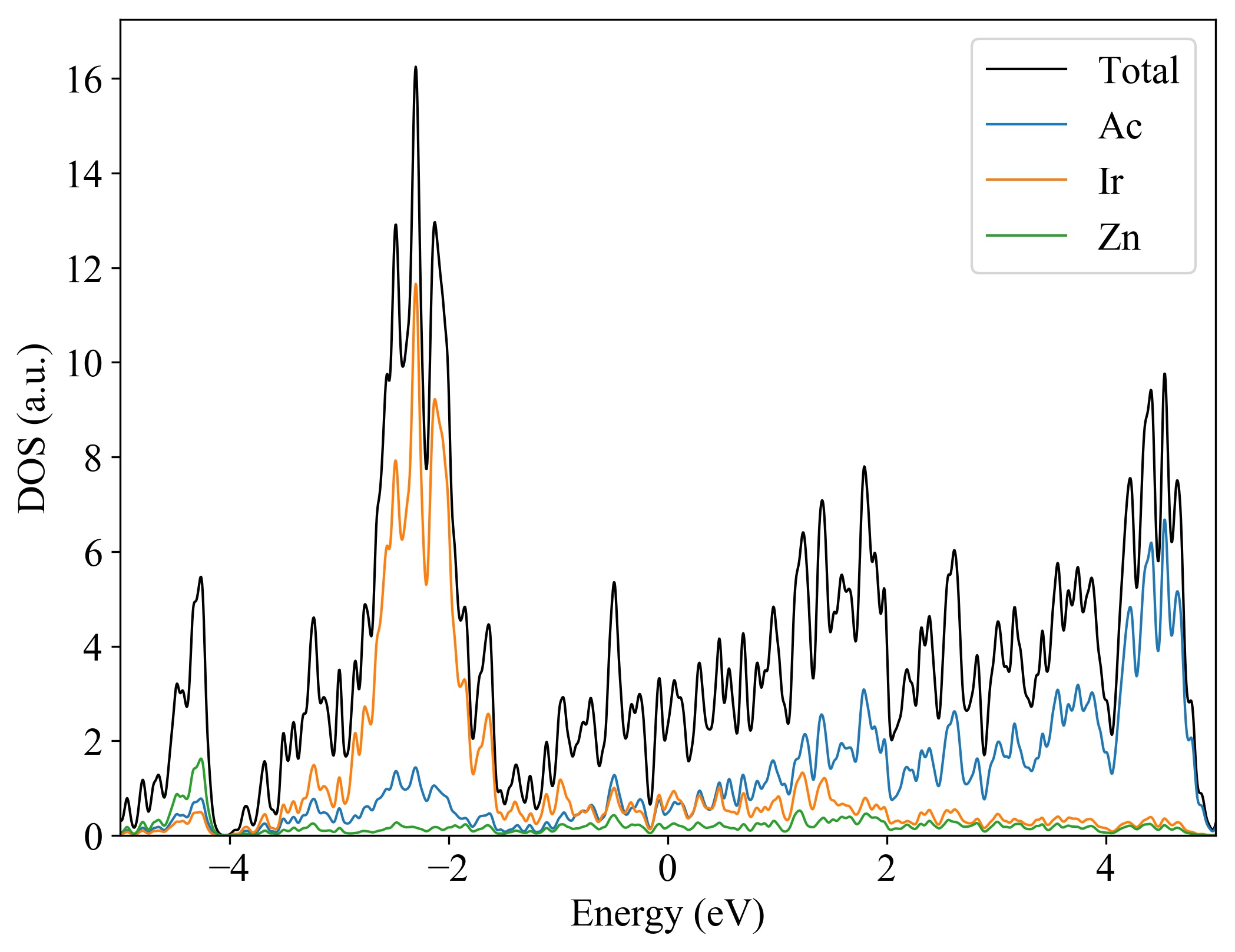
Band gap (PBE) (eV) 0
Total energy (eV) -15.992
Total energy / atom (eV) -3.998

Lattice Parameters(conventional cell, from the source)

a, b, c (Å): 7.590 7.590 7.590
α, β, γ(°): 90.0 90.0 90.0

Lattice Parameters(conventional cell, relaxed)

a, b, c (Å): 7.570 7.570 7.570
α, β, γ(°): 90.0 90.0 90.0
Ac2Ir1Zn1
.
Property Value
Bulk-modulus 64.505 GPa






Ac2Ir1Zn1
  
Property Value
Band gap 0 eV
Property Value
Source mp-865398-Ac2Ir1Zn1