Ac2Hg1Sn1

MatHub3d-95-Ac2Hg1Sn1

Property Value
Space group (225, "'Fm-3m'")
Magnetic True
Magnetic moment (μB) 0.02
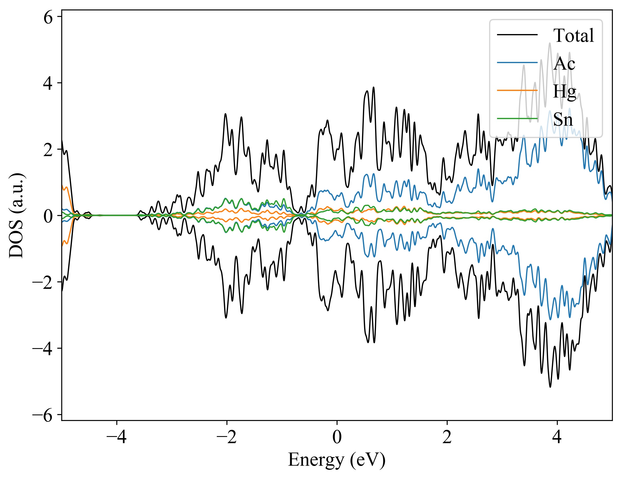
Band gap (PBE) (eV) 0
Total energy (eV) -14.335
Total energy / atom (eV) -3.584

Lattice Parameters(conventional cell, from the source)

a, b, c (Å): 8.160 8.160 8.160
α, β, γ(°): 90.0 90.0 90.0

Lattice Parameters(conventional cell, relaxed)

a, b, c (Å): 8.140 8.140 8.140
α, β, γ(°): 90.0 90.0 90.0






Ac2Hg1Sn1
  
Property Value
Band gap 0 eV
Property Value
Source mp-864795-Ac2Hg1Sn1