Ac2Ge1Hg1

MatHub3d-88-Ac2Ge1Hg1

Property Value
Space group (225, "'Fm-3m'")
Magnetic True
Magnetic moment (μB) 0.03
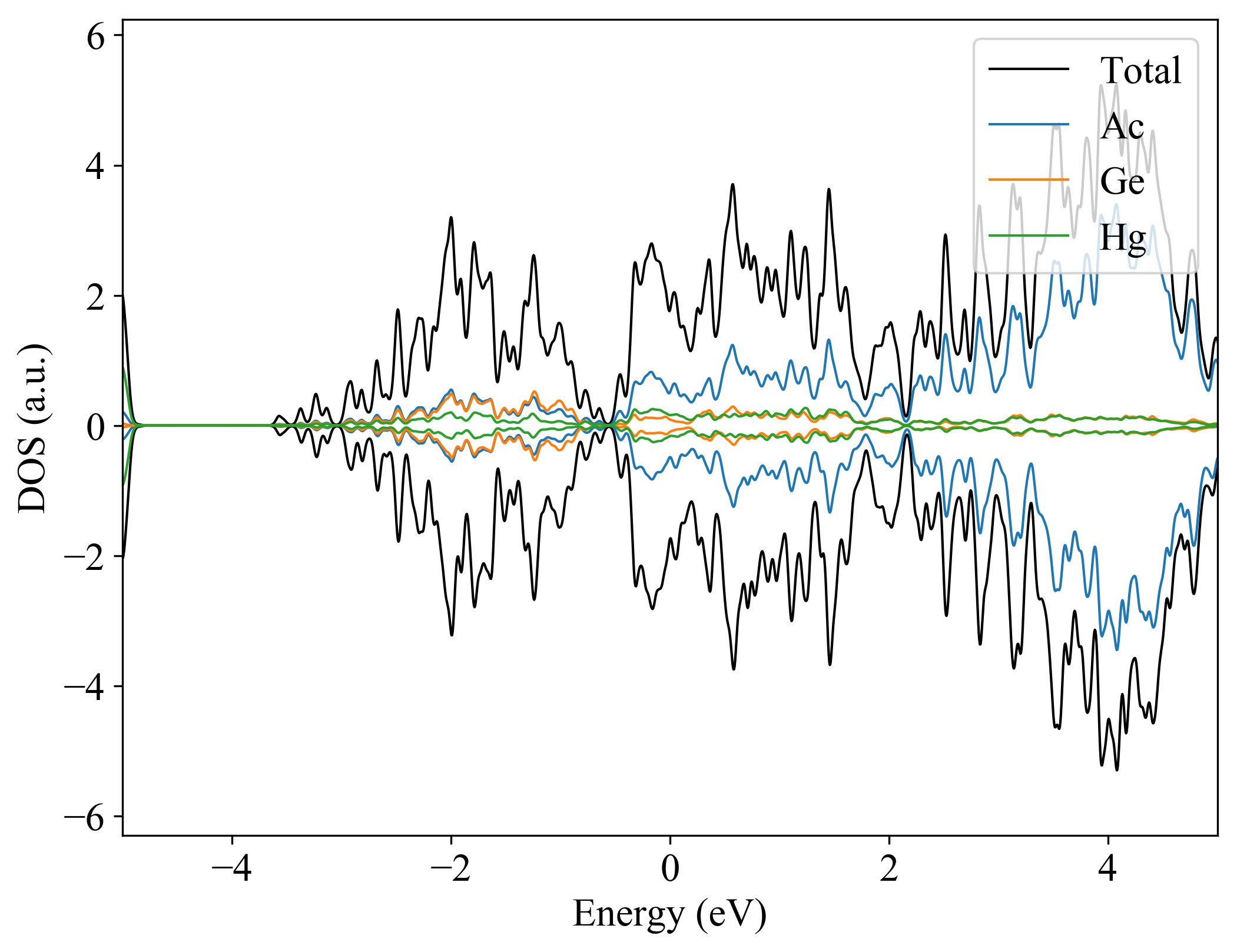
Band gap (PBE) (eV) 0
Total energy (eV) -14.864
Total energy / atom (eV) -3.716

Lattice Parameters(conventional cell, from the source)

a, b, c (Å): 7.950 7.950 7.950
α, β, γ(°): 90.0 90.0 90.0

Lattice Parameters(conventional cell, relaxed)

a, b, c (Å): 7.950 7.950 7.950
α, β, γ(°): 90.0 90.0 90.0






Ac2Ge1Hg1
  
Property Value
Band gap 0 eV
Property Value
Source mp-861872-Ac2Ge1Hg1