Ac2Ga6

MatHub3d-87-Ac2Ga6

Property Value
Space group (194, "'P6_3/mmc'")
Magnetic False
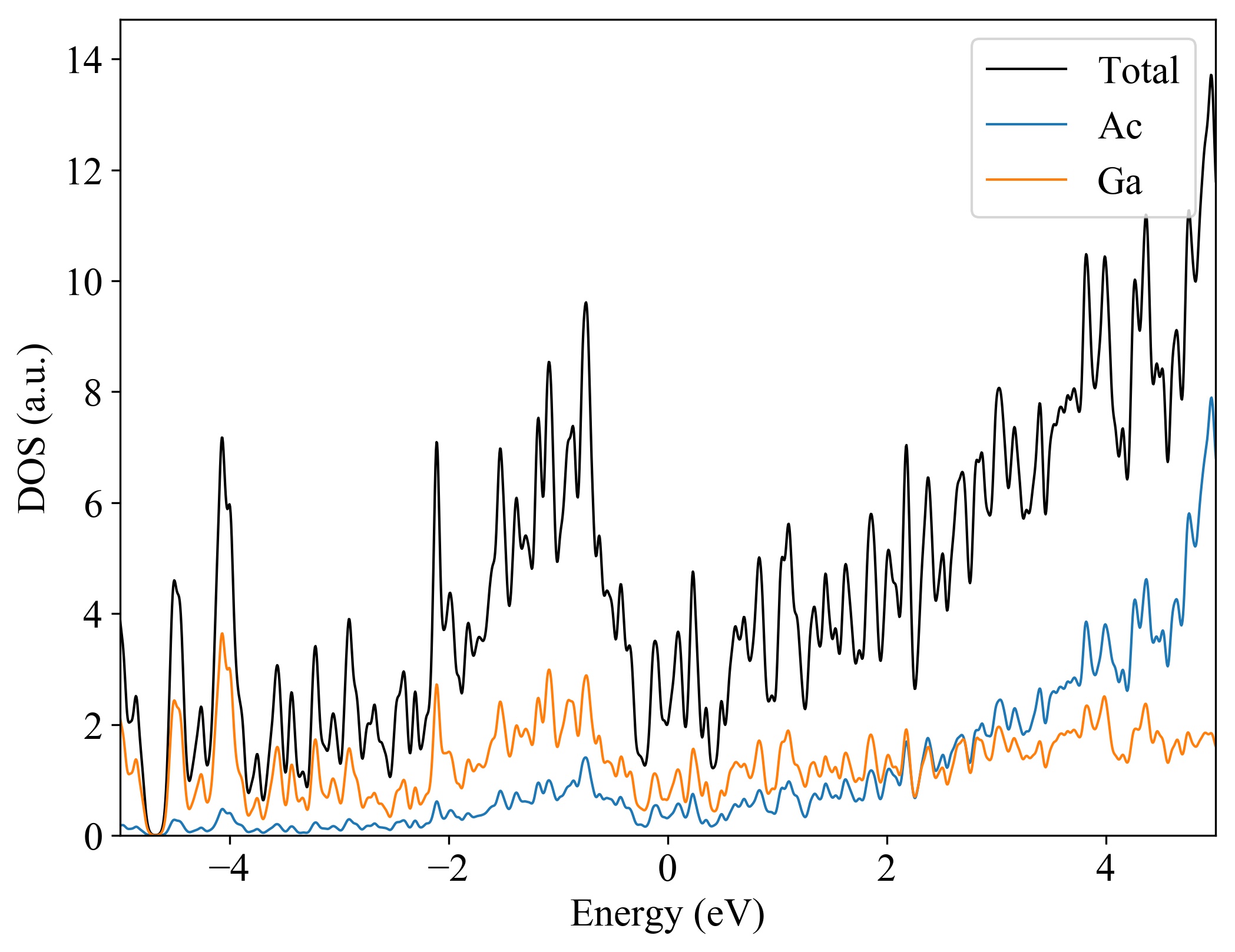
Band gap (PBE) (eV) 0
Total energy (eV) -29.520
Total energy / atom (eV) -3.690

Lattice Parameters(conventional cell, from the source)

a, b, c (Å): 6.840 6.840 4.700
α, β, γ(°): 90.0 90.0 120.0

Lattice Parameters(conventional cell, relaxed)

a, b, c (Å): 6.840 6.840 4.620
α, β, γ(°): 90.0 90.0 120.0






Ac2Ga6
  
Property Value
Band gap 0 eV
Property Value
Source mp-867815-Ac2Ga6