Ac2Cd6

MatHub3d-77-Ac2Cd6

Property Value
Space group (194, "'P6_3/mmc'")
Magnetic False
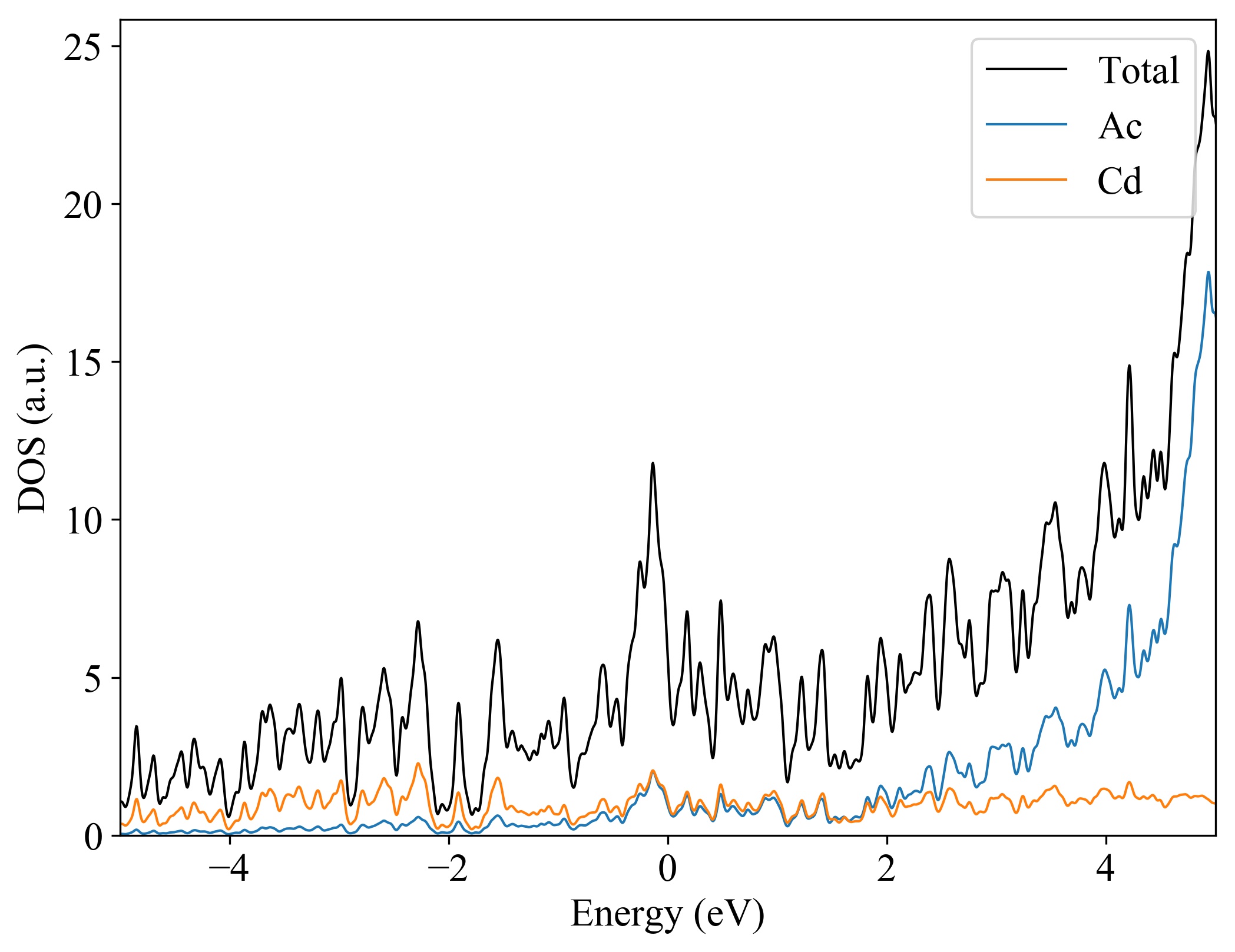
Band gap (PBE) (eV) 0
Total energy (eV) -12.078
Total energy / atom (eV) -1.510

Lattice Parameters(conventional cell, from the source)

a, b, c (Å): 7.200 7.200 5.120
α, β, γ(°): 90.0 90.0 120.0

Lattice Parameters(conventional cell, relaxed)

a, b, c (Å): 7.220 7.220 5.120
α, β, γ(°): 90.0 90.0 120.0
Ac2Cd6
.
Property Value
Bulk-modulus 43.025 GPa






Ac2Cd6
  
Property Value
Band gap 0 eV
Property Value
Source mp-867890-Ac2Cd6