Ac1Te3

MatHub3d-66-Ac1Te3

Property Value
Space group (139, "'I4/mmm'")
Magnetic False
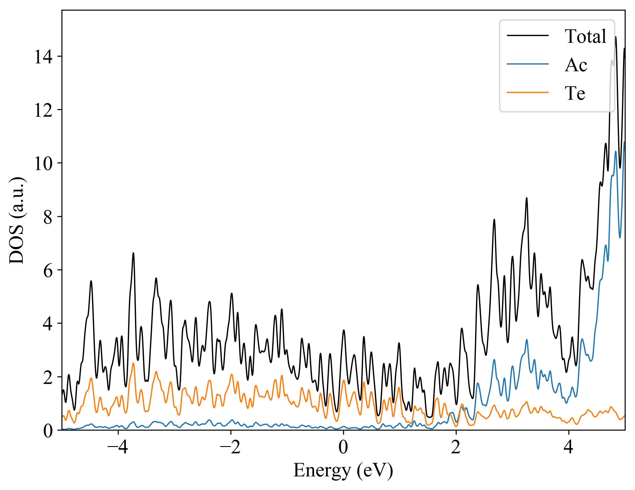
Band gap (PBE) (eV) 0
Total energy (eV) -16.988
Total energy / atom (eV) -4.247

Lattice Parameters(conventional cell, from the source)

a, b, c (Å): 4.690 4.690 11.670
α, β, γ(°): 90.0 90.0 90.0

Lattice Parameters(conventional cell, relaxed)

a, b, c (Å): 4.720 4.720 11.560
α, β, γ(°): 90.0 90.0 90.0






Ac1Te3
  
Property Value
Band gap 0 eV
Property Value
Source mp-865558-Ac1Te3