Ac1Sr1Tl2

MatHub3d-63-Ac1Sr1Tl2

Property Value
Space group (225, "'Fm-3m'")
Magnetic False
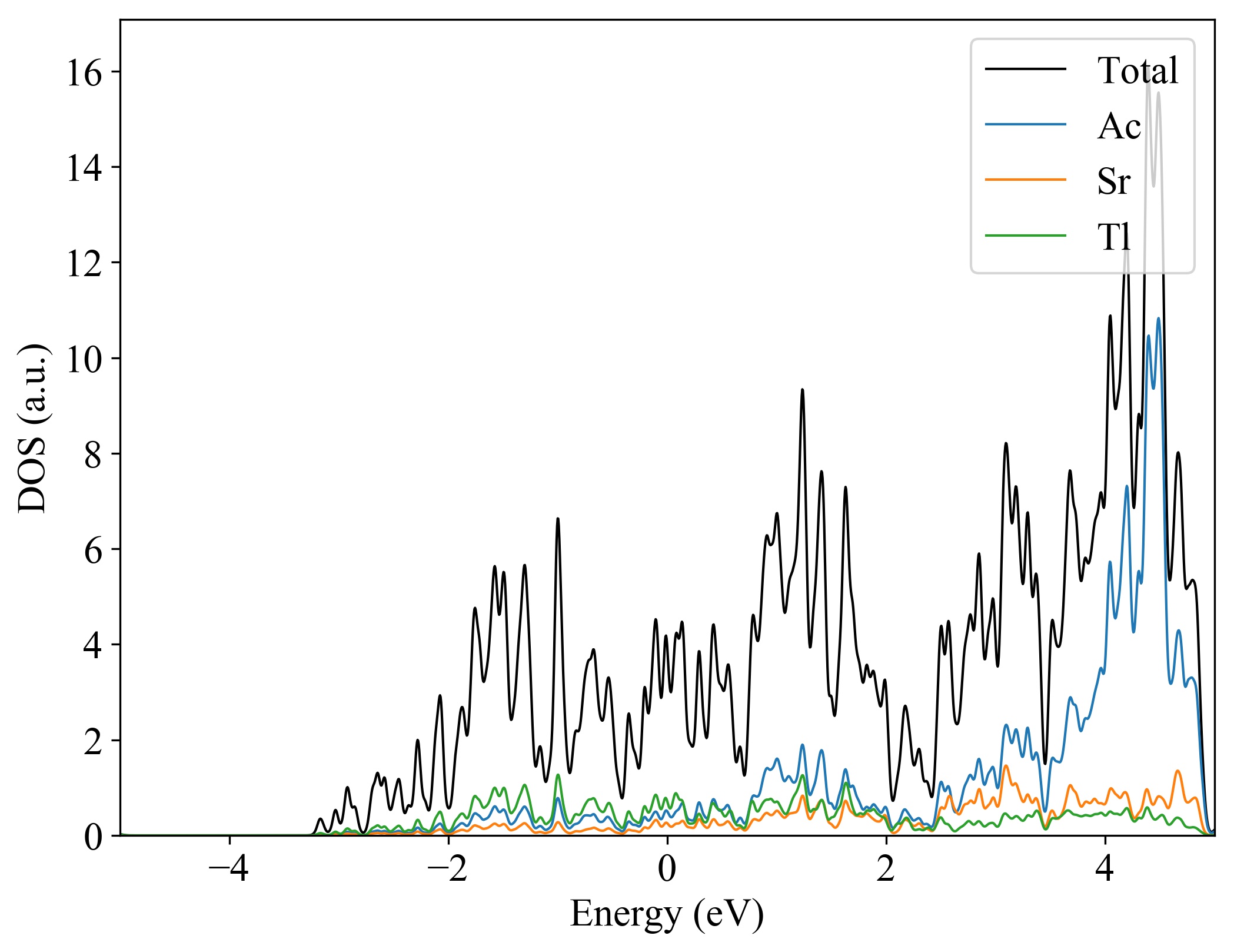
Band gap (PBE) (eV) 0
Total energy (eV) -11.722
Total energy / atom (eV) -2.930

Lattice Parameters(conventional cell, from the source)

a, b, c (Å): 8.260 8.260 8.260
α, β, γ(°): 90.0 90.0 90.0

Lattice Parameters(conventional cell, relaxed)

a, b, c (Å): 8.260 8.260 8.260
α, β, γ(°): 90.0 90.0 90.0
Ac1Sr1Tl2
.
Property Value
Bulk-modulus 33.290 GPa






Ac1Sr1Tl2
  
Property Value
Band gap 0 eV
Property Value
Source mp-978953-Ac1Sr1Tl2