Ac1Mg5

MatHub3d-54-Ac1Mg5

Property Value
Space group (191, "'P6/mmm'")
Magnetic False
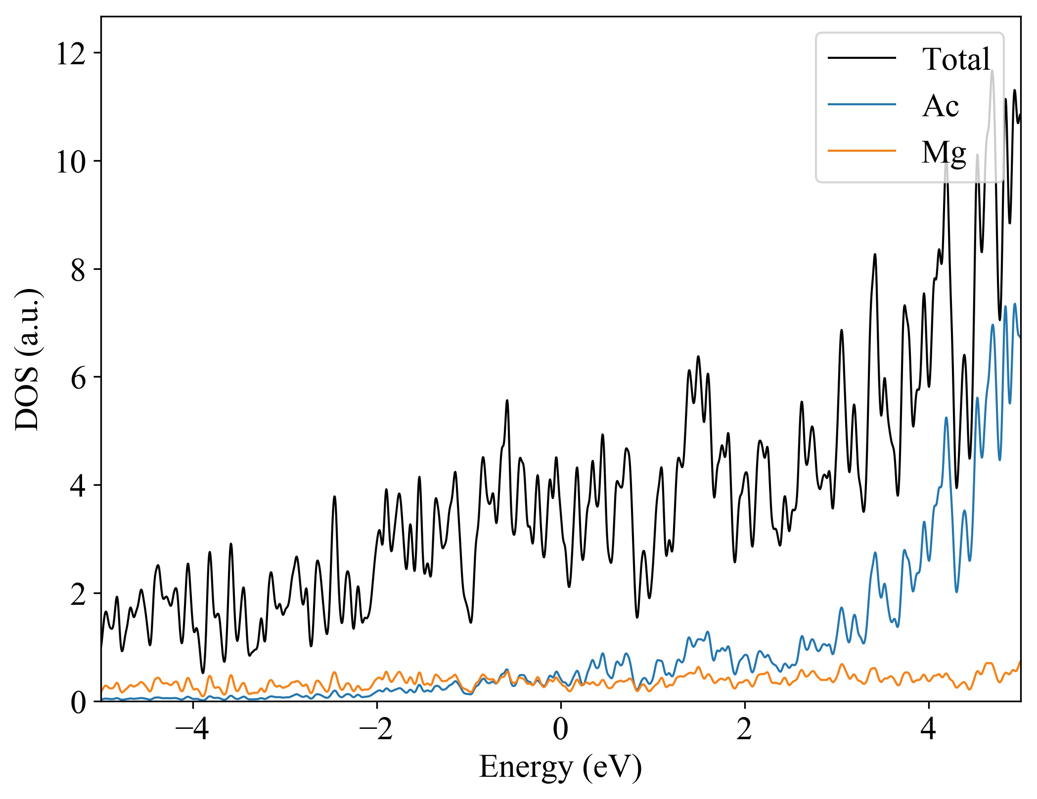
Band gap (PBE) (eV) 0
Total energy (eV) -12.046
Total energy / atom (eV) -2.008

Lattice Parameters(conventional cell, from the source)

a, b, c (Å): 6.160 6.160 5.000
α, β, γ(°): 90.0 90.0 120.0

Lattice Parameters(conventional cell, relaxed)

a, b, c (Å): 6.190 6.190 4.960
α, β, γ(°): 90.0 90.0 120.0






Ac1Mg5
  
Property Value
Band gap 0 eV
Property Value
Source mp-864996-Ac1Mg5