Ac1H2

MatHub3d-32-Ac1H2

Property Value
Space group (225, "'Fm-3m'")
Magnetic False
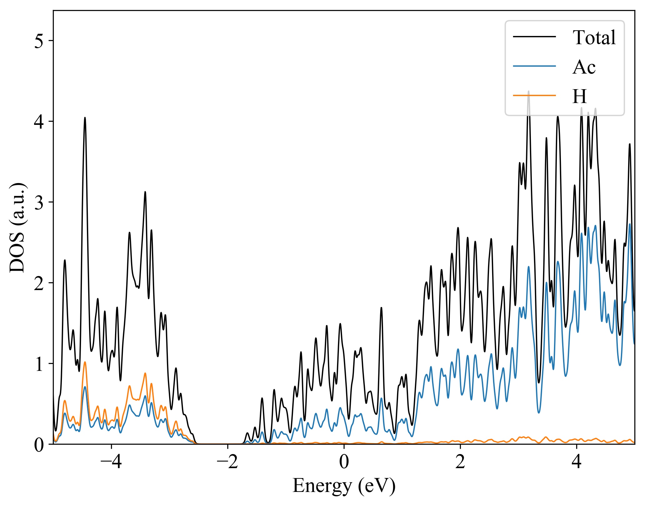
Band gap (PBE) (eV) 0
Total energy (eV) -12.533
Total energy / atom (eV) -4.178

Lattice Parameters(conventional cell, from the source)

a, b, c (Å): 5.670 5.670 5.670
α, β, γ(°): 90.0 90.0 90.0

Lattice Parameters(conventional cell, relaxed)

a, b, c (Å): 5.910 5.910 5.910
α, β, γ(°): 90.0 90.0 90.0






Ac1H2
  
Property Value
Band gap 0 eV
Property Value
Source icsd-56392-Ac1H2